Handmades</center>
 
*
Bem-vindo, Visitante. Por favor faça o Login ou Registro. 08 de Fevereiro de 2026, as 10:57:42


Login com nome de usuário, senha e duração da sessão


Páginas:  1 [2]   Ir para o Fundo
  Imprimir  
Autor Tópico: [OPINIÃO] Mercado para caixas tipo Hammond + Desenvolvimento de Moldes  (Lida 16083 vezes)
Mallermb
Colaborador
***
Offline Offline

Sexo: Masculino
Mensagens: 854

Obrigado
-Dado: 25
-Recebido: 200



« Responder #15 : 04 de Novembro de 2015, as 12:16:19 »

Só uma pequena explicação para quem acha difícil furar caixa de aço:

A rotação da furadeira fará toda a diferença na hora de furar uma caixa de aço, ou seja, se estiver usando brocas mais finas, a rotação da furadeira, deverá ser mais rápida, se a broca for mais grossa, a rotação deverá ser mais lenta, se seguir esta regrinha, conseguirá furar caixas de aço com facilidade.

Outra coisa é a pressão que deverá exercer na hora de furar uma caixa de aço, não pode ter muita pressa.
Registrado

A vida não é complicada, o viver não é complicado, nós é que temos o costume de complicar a vida e o viver...,
ZAS
Freqüente
**
Offline Offline

Sexo: Masculino
Mensagens: 328

Obrigado
-Dado: 3
-Recebido: 39


Um ao outro ajudou.


« Responder #16 : 04 de Novembro de 2015, as 12:55:26 »

É recomendado também o uso de um punção (instrumento pontiagudo), para picar a superfície do material. Esse procedimento evita que a broca deslize e risque. Em seguida usar uma broca fina, depois a que fará abertura definitiva.

ZAS
Registrado

Nada que nos tire a lucidez.... e prejudique alguém.
Montanari
Visitante
« Responder #17 : 04 de Novembro de 2015, as 14:28:14 »

Só uma pequena explicação para quem acha difícil furar caixa de aço:

A rotação da furadeira fará toda a diferença na hora de furar uma caixa de aço, ou seja, se estiver usando brocas mais finas, a rotação da furadeira, deverá ser mais rápida, se a broca for mais grossa, a rotação deverá ser mais lenta, se seguir esta regrinha, conseguirá furar caixas de aço com facilidade.

Outra coisa é a pressão que deverá exercer na hora de furar uma caixa de aço, não pode ter muita pressa.

É verdade, sou testemunha disso.

É preciso técnica, ferramentas apropriadas ( uma furadeira com controle de rotação é fundamental ), brocas de primeira qualidade e muita......  muuuuuuuuita paciência.


Recentemente eu comprei uma broca escalonada, para furar alumínio...  foi aí que eu confirmei a existência de Deus!...  rs

Não existe a menor chance de comparar o esforço entre furar alumínio ( com a broca adequada ) e furar aço.

Só para ilustrar, há 3 anos eu mandei fazer 50 caixas em aço, imitando o desenho do RAT. Mandei fazer na espessura de 2 milímetros. Preciso dizer o que aconteceu ? As 50 caixinhas estão embaixo da cama até hoje !!!!

( Nunca repitam o erro dos outros, é feio... )     
Registrado
ljulio
Iniciante
*
Offline Offline

Sexo: Masculino
Mensagens: 97

Obrigado
-Dado: 14
-Recebido: 10



« Responder #18 : 04 de Novembro de 2015, as 14:39:46 »

Não é difícil, é só ter a ferramenta certa, da para fazer com furadeira manual? Dá, mas tem que ter cuidado inclusive para não se machucar, principalmente quando vai usar brocas mais grossas, o melhor mesmo é usar uma furadeira de bancada com morsa para prender a peça e se possível com fluido de corte para não estragar a broca, e fazer com paciência, as coisas não são difíceis o que falta as vezes é a ferramenta correta.
Registrado

"In a World without Walls and Fences, who needs Windows and Gates? - Think different. -Think Linux."
andersohm
Iniciante
*
Offline Offline

Sexo: Masculino
Mensagens: 110

Obrigado
-Dado: 10
-Recebido: 21


« Responder #19 : 04 de Novembro de 2015, as 15:11:27 »

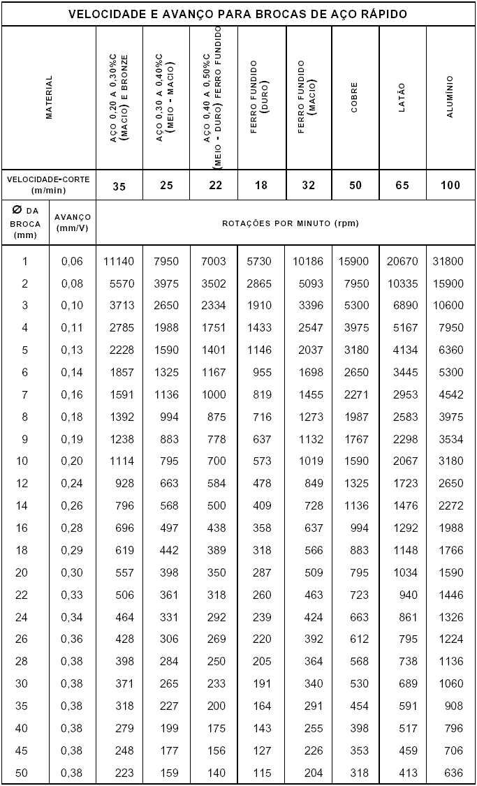
Não é difícil, é só ter a ferramenta certa, da para fazer com furadeira manual? Dá, mas tem que ter cuidado inclusive para não se machucar, principalmente quando vai usar brocas mais grossas, o melhor mesmo é usar uma furadeira de bancada com morsa para prender a peça e se possível com fluido de corte para não estragar a broca, e fazer com paciência, as coisas não são difíceis o que falta as vezes é a ferramenta correta.
A rotação correta também... sendo esta inversamente proporcional ao diâmetro da broca...

Encontrei esta tabelinha que nos dá alguma noção:

Spoiler (clique para mostrar ou esconder)
« Última modificação: 04 de Novembro de 2015, as 15:28:41 por andersohm » Registrado

"Don't talk to strangers..."
Páginas:  1 [2]   Ir para o Topo
  Imprimir  
 
Ir para:  


Powered by MySQL Powered by PHP Powered by SMF 1.1.21 | SMF © 2006-2009, Simple Machines

XHTML 1.0 Válido! CSS Válido! Dilber MC Theme by HarzeM
Página criada em 0.035 segundos com 19 procedimentos.
SimplePortal 2.3.3 © 2008-2010, SimplePortal